Total scattering - Debye approach
Neutron or X-ray scattering static structure factor \(S(q)\) is defined as: \[\label{s2q_1} S(q)=\frac{1}{N} \sum_{j,k} b_j\,b_k \left< e^{\displaystyle{iq[{\bf{r}}_j-{\bf{r}}_k]}} \right>\] where \(b_j\) and \({\bf{r}}_j\) represent respectively the neutron or X-ray scattering length, and the position of the atom \(j\). \(N\) is the total number of atoms in the system studied.
To take into account the inherent/volume averaging of scattering experiments it is necessary to sum all possible orientations of the wave vector \(q\) compared to the vector \({\bf{r}}_j-{\bf{r}}_k\). This average on the orientations of the \(q\) vector leads to the famous Debye’s equation: \[\label{s2q_2} S(q)\ =\ \frac{1}{N} \sum_{j,k} b_j\,b_k \frac{\sin (q|{\bf{r}}_j-{\bf{r}}_k|)}{q|{\bf{r}}_j-{\bf{r}}_k|}\] Nevertheless the instantaneous individual atomic contributions introduced by this equation [s2q_2] are not easy to interpret. It is more interesting to express these contributions using the formalism of radial distribution functions [Sec. 5.2].
In order to achieve this goal it is first necessary to split the self-atomic contribution (\(j=k\)), from the contribution between distinct atoms: \[\label{s2q_3} S(q)\ =\ \sum_{j}\ c_j b_j^2\ +\ \underbrace{\frac{1}{N} \sum_{j\ne k} b_j\,b_k \frac{\sin (q|{\bf{r}}_j-{\bf{r}}_k|)}{q|{\bf{r}}_j-{\bf{r}}_k|}}_{\displaystyle{I(q)}} \qquad \text{with}\quad c_j=\frac{N_j}{N}\] where \(4\pi\ \sum_{j}\ c_j b_j^2\) represents the total scattering cross section of the material.
The function \(I(q)\) which describes the interaction between distinct atoms is related to the radial distribution functions through a Fourier transformation: \[\label{s2q_4} I(q)\ =\ 4 \pi \rho\ \int_{0}^{\infty}\ dr\ r^{2}\ \frac{\sin qr}{qr}\ G(r)\] where the function \(G(r)\) is defined using the partial radial distribution functions [Eq. [g2r_4]]: \[\label{s2q_5} G(r)\ =\ \sum_{\alpha,\beta}\ c_{\alpha} b_{\alpha}\ c_{\beta} b_{\beta}\ (g_{\alpha\beta}(r) -1)\] where \(c_{\alpha}=\displaystyle{\frac{N_\alpha}{N}}\) and \(b_{\alpha}\) represents the neutron or X-ray scattering length of species \(\alpha\).
\(G(r)\) approaches - \(\displaystyle{-\ \sum_{\alpha,\beta}}\ c_{\alpha} b_{\alpha}\ c_{\beta} b_{\beta}\) for \(r = 0\), and 0 for \(r\to\infty\).
Usually the self-contributions are subtracted from equation [s2q_3] and the structure factor is normalized using the relation: \[\label{s2q_6} S(q)\ -\ 1\ =\ \frac{I(q)}{\displaystyle{\langle b^{2} \rangle}} \quad \text{with} \quad \langle b^{2} \rangle = \left(\sum_{\alpha} c_{\alpha} b_{\alpha} \right)^{2}\] It is therefore possible to write the structure factor [Eq. [s2q_2]] in a more standard way: \[\label{s2q_7} S(q)\ =\ 1\ +\ 4 \pi \rho \int_{0}^{\infty}\ dr\ r^{2}\ \frac{\sin qr}{qr} ({\bf{g}}(r) -1)\] where \({\bf{g}}(r)\) (the radial distribution function) is defined as: \[\label{s2q_8} {\bf{g}}(r)\ =\ \frac{\displaystyle{\sum_{\alpha,\beta}}\ c_{\alpha} b_{\alpha}\ c_{\beta} b_{\beta}\ g_{\alpha\beta}(r) }{\displaystyle{\langle b^{2} \rangle}}\] In the case of a single atomic species system the normalization allows to obtain values of \(S(q)\) and \({\bf{g}}(r)\) which are independent of the scattering factor/length and therefore independent of the measurement technique. In most cases, however, the total \(S(q)\) and \({\bf{g}}(r)\) are combinations of the partial functions weighted using the scattering factor and therefore depend on the measurement technique (Neutron, X-rays ...) used or simulated.
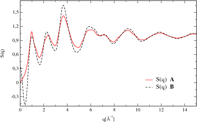
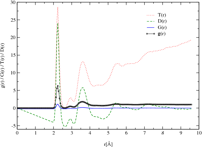
Figure 5.4 presents a comparison between the calculations of the total neutron structure factor done using the Debye relation [Eq. [s2q_2]] and the pair correlation functions [Eq. [s2q_7]]. The material studied is a sample of glassy GeS\(_2\) at 300 K obtained using ab-initio molecular dynamics. In several cases the structure factor \(S(q)\) and the radial distribution function \({\bf{g}}(r)\) [Eq. [s2q_8]] can be compared to experimental data. To simplify the comparison atomes computes several radial distribution functions used in practice such as \(G(r)\) defined [Eq. [s2q_5]], the differential correlation function \(D(r)\), \({\bf{G}}(r)\), and the total correlation function \(T(r)\) defined by: \[\begin{aligned} \label{s2q_9} D(r)\ =\ 4\pi r \rho\ G(r) \\ \nonumber {\bf{G}}(r)\ =\ \frac{D(r)}{\langle b^{2} \rangle} \\ T(r)\ =\ D(r)\ +\ 4\pi r \rho\ \langle b^{2} \rangle \nonumber\end{aligned}\] \({\bf{g}}(r)\) equals zero for \(r=0\) and approaches 1 for \(r\to\infty\).
\(D(r)\) equals zero for \(r=0\) and approaches 0 for \(r\to\infty\).
\({\bf{G}}(r)\) equals zero for \(r=0\) and approaches 0 for \(r\to\infty\).
\(T(r)\) equals zero for \(r=0\) and approaches \(\infty\) for \(r\to\infty\).
This set of functions for a model of GeS\(_2\) glass (at 300 K) obtained using ab-initio molecular dynamics is presented in figure 5.5.
can compute, for the case of x-rays and/or neutrons, the following functions:
\(S(q)\) and \(Q(q)\ =\ q[S(q)-1.0]\) [1], [2] computed using the Debye equation
\(S(q)\) and \(Q(q)\ =\ q[S(q)-1.0]\) [1], [2] computed using the Fourier transform of \({\bf{g}}(r)\)
\({\bf{g}}(r)\), \({\bf{G}}(r)\), \(D(r)\) and \(T(r)\) computed using the standard real space calculation
\({\bf{g}}(r)\), \({\bf{G}}(r)\), \(D(r)\) and \(T(r)\) computed using the Fourier transform of Debye \(S(q)\)
- M. T. Dove, M. G. Tucker, and D. A. Keen, Eur. Jour. Mat., vol. 14, pp. 331–348, 2002.
- B. Thijsse, J. App. Cryst., vol. 17, pp. 61–76, 1984.
